有料资讯/行业动态/【化工百科】有化学基础的人想在家里制毒,真的这么容易吗?/

【化工百科】有化学基础的人想在家里制毒,真的这么容易吗?

阅读量:9043 | 关键字:-- | 发布时间:2025年10月05日03时 | 来源:漫步化学

 

在美剧《绝命毒师》中,收入微薄的高中化学老师沃尔特生活本来就是捉襟见肘,孰料近期更是屋漏偏逢连夜雨,妻子又怀孕了,残废的儿子也需要大笔的支出,自己还刚刚被确诊为肺癌晚期,什么倒霉的事情都叫他给碰上了。

心情与生活环境恶劣到这种极端程度的人物,一般都会作出惊人的举动。沃尔特既然是名化学教师,那么他选择的邪路就是――制毒贩毒。

在第一集中,老白在看到毒贩在家制毒的现场过后,心中萌生了自己制毒的想法。我们也经常听说,很多小毒贩都会自己在家里制毒,甚至有人说,一个学化学的本科生在家里可以轻易的制造出毒品,那么现实是这样的吗?

以冰毒为例,冰毒,即兴奋剂甲基苯丙胺,因其原料外观为纯白结晶体,晶莹剔透,故被吸毒、贩毒者称为“冰”(ice)。由于它的毒性剧烈,人们便称之为“冰毒”。该药小剂量时有短暂的兴奋抗疲劳作用,故其丸剂又有“大力丸”之称。

以麻黄素为原料合成甲基苯丙胺是合成甲基苯丙胺的传统路线,也是制造甲基苯丙胺最常用的方法之一。目前有四种方法,我们一一来分析一下。

(根据相关法律法规,下列反应核心条件及原料配比已经略去!)

路线一:Nagai法,麻黄素在碘,红磷作用下生成甲基苯丙胺。碘和红磷先生成氢碘酸,氢碘酸中的碘取代麻黄素中的羟基,碱性条件下脱碘生成甲基苯丙胺。

因这条合成路线所需原料,试剂成本较低,对操作者要求不高,所以该方法是传统从麻黄素合成甲基苯丙胺路线中最经典的方法和最常采用的方法。这也是为什么,老白在第一集的结尾时分会用到红磷将敌人致盲的原因。

路线二:Birch还原法,麻黄素在液氨,锂或者钠作用下生成甲基苯丙胺。由于金属钠非常活泼,且难获得,因此常用一次性锂电池中的金属锂代替金属钠。但是Birch还原法是极其危险的,因为碱金属和液氨都有极高的反应性。而且当加入反应物的时候,液氨的温度使其极易爆沸。但因为其合成路线短,所以这是一条日渐使用普遍使用的方法。

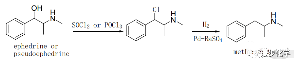
路线三:Emde方法,麻黄素在氯化亚砜或者三氯氧磷作用下1-氯-1-苯基-2-甲氨基丙烷(又称氯麻黄素)经氢和钯共同还原作用下生成甲基苯丙胺。

该方法在合成的过程中不仅要用到强氧化剂,且要用到易燃易爆的氢气和价格昂贵的钯催化剂,因此该路线不仅操作难度大且成本昂贵,实验的操作者需要有较高的有机合成基础。

一旦操作失误,就如同老白说的那样,会产生大量的副产物二氯二乙基硫(即芥子气的学名),芥子气至今没有特效抗毒药物,仅能采取对症治疗措施。

路线四:Rosenmund方法,麻黄素在高氯酸作用下生成1-氯-1-苯基-2-甲氨基丙烷,经氢和钯共同还原作用下生成甲基苯丙胺。

该方法与Emde法相似,只是氧化剂为高氯酸,也要用到易燃易爆的氢气和价格非常昂贵的钯催化剂,对高氯酸的处理需要非常复杂的纯化措施,因此该路线操作难度极大且成本昂贵,实验的操作者需要极高的有机合成技术和经验。

看完了方法,我们再来看看原料,合成甲基苯丙胺最重要的就是麻黄素,而毒品市场上麻黄素的来源主要分为以 下三种途径:

途径一:从植物麻黄中提炼。

2012年10月福建某市查获 的一起非法提取麻黄素的案件中,查获麻黄5吨,已提取的麻黄素100余公斤。

2012年10月福建某市查获的一起非法提取麻黄素的案件中,查获麻黄5吨,已提取的麻黄素100余公斤。

2012年10月福建某市查获的一起非法提取麻黄素的案件中,查获麻黄5吨,已提取的麻黄素100余公斤。

途径二:从感冒药中提炼。

从感冒药中提炼麻黄素是获取麻黄素经典的方法之一。

早在2007年福建某市人员开始大量倒卖含麻黄素的药品从而获利,伴随着市场竞争激烈和利润的驱使,逐渐演变成自己从药品中提炼、加工生产麻黄素。

2013年7月福建某市发生一起涉毒案件中缴获含有麻黄素的新康泰克18.4 公 斤。

途径三:从化工原料中合成。

伴随着国家对麻黄和含麻黄素类药品的监管力度的加大,从化工原料合成麻黄素呈现出快速蔓延的趋势。

因此应加大易制毒化学品监管力度,及时的建立敏感药品管控机制,要求生产者必须备案,购买者需经严 格的审批且要实名登记,加大对运输行业的监管力 度尤其是新兴的快递行业的监管。

严控合成原料才能从源头上杜绝甲基苯丙胺合成。

根据国家规定,任何含有麻黄素的药品均受到国家管制,也就是我们常说的“处方药”,任何人无法大量购买。而非药品类依据中华人民共和国《易制毒化学品管理条例》第三章第十六条规定,个人不得购买第一类、第二类易制毒化学品。

所以说,即使是有着丰厚化学基础的人,想要在家里甚至简易实验室制备毒品是难上加难的,何况需要大量的实验来准确推算出反应的温度和配比,就算这些都成功了,制备出整板结晶状的冰毒也是需要非常精准的精细合成操作的,有可能在你制出毒之前,产生的异味已经足够惊动当地警方了,所以说,现实生活与影视剧中还是有着不小的差距的,毕竟艺术来源于生活,但高于生活,珍爱生命,远离毒品。

参考文献:

【1】 林应椿,郭建,李航麒,甲基苯丙胺合成路线解析及禁毒策略,CNKI:SUN:FJFC.0.2018-06-012.

【2】 《精细化学品化学》,化学工业出版社,2009,9787122064424.

【3】 中华人民共和国《易制毒化学品管理条例》,中华人民共和国国务院,中华人民共和国国务院令第445号,2018年9月18日.

【4】 学一般,甲基苯丙胺合成工艺技术的解析论述,2019-08-26,百度学术.

版权申明:
1.凡本网注明“来源:有料网”的所有文字、图片、音频和视频文件,版权均为有料网所有。如需转载请与客服电话:400-8811-938联系。 任何媒体、网站或个人转载使用时须注明来源“有料网”,违反者本网将追究法律责任。
2.本网转载并注明其他来源的稿件,均来自互联网或业内投稿人士,版权属于原版权人。 转载请保留稿件来源及作者,禁止擅自篡改违者自负版权法律责任。
3.本网所载文章仅供行业内信息交流分享,如有侵权,请联系我们进行删除处理。任何依据有料网数据和信息而进行的投资、买卖、运营等行为所造成的任何直接或间接损失及法律后果均应当自行承担,与有料网无关。
买家中心
我的订单
购物车
移动端
常购商品